ABARE (Australian Bureau of Agricultural Resource and economics). March 2000. Australian commodities. Forecasts and issues. 7(1).
Boerema, E. B. 1974. Climatic effects on growth and yield of rice in the Murrumbidgee Valley of New South Wales, Australia. Riso. 23(4), 385 p.
Hayase H., Satake T., Nishiyama I. and Ito N. 1969. Male sterility caused by cooling treatment at the meiotic stage in rice plants II. The most sensitive stage to cooling and the fertilising ability of pistils. Proceedings of the Crop Science Society of Japan. 38(4), 706 p.
Heenan DP. 1984. Low-temperature induced floret sterility in the rice cultivars Calrose and Inga as influenced by nitrogen supply. Australian Journal of Experimental Agriculture and Animal Husbandry. 24(125), 255 p.
IRRI (International Rice Research Institute). 1979. Annual report for 1978. 137 p.
IRRI. 1999. 1998 annual technical report. National rice research program and Lao-IRRI project.
Ito, N. 1971. Male sterility caused by cooling treatment at the young microspore stage in rice plant. VIII. Free amino acids in anthers. Proceedings of Crop Science Society of Japan. 41, 32p.
Matsui, T., Omasa, K. and Horie, T. 1997. High temperature induced spikelet sterility of japonica rice at flowering in relation to air temperature, humidity and wind velocity conditions. Japanese journal of crop science. 66(3). 449 p.
Nagano, K. 1998. Development of new breeding techniques for cold tolerance and breeding of new rice cultivars with highly cold tolerance, Hitomebore and Jyoudeki. Proceedings of International Workshop on Breeding and Biotechnology for Environmental Stress in Rice. Sapporo, Japan. 143 p.
Satake, T. (1969). Research on cool injury of paddy rice plant in Japan. JARQ. 4(4), 5 p.
Satake T., Lee S. Y., Koike S. and Kariya K. 1987. Male sterility caused by cooling treatments at the young microspore stage in rice plants XXVII Effect of water temperature and nitrogen application before the critical stage on the sterility induced by cooling at the critical stage. Japanese Journal of Crop Science. 56(3), 404 p.
Smillie, R. M., Hetherington, S. E., He, J., and Nott, R. 1988. Photoinhibition at chilling temperatures. Australian Journal of Plant Physiology. 15, 207 p.
Williams, R. L. and Angus J. F. 1994. Deep floodwater protects high-nitrogen rice crops from low-temperature damage. Australian Journal of Experimental Agriculture. (34), 927 p.
Yoshida, S., Satake T. and Mackill D. S. 1981. High-temperature stress in rice. IRRI Research Paper Series. Manila. 67, 15 p.
Yoshida, S. 1981. Fundamentals of Rice Crop Science. IRRI. 81-82 p.
TABLE 3 ESTIMATES OF RICE PRODUCTION IN AUSTRALIA AND LAOS IN 1998.
Australia |
Laos | |
Planting Method |
Aerial sowing (90%) |
Transplanting (100%) |
Rice area (ha) |
139, 902 |
650, 000 |
Total annual rice production (tons) |
1.32 million |
1.67 million |
Average yield (t/ha) |
9.42 |
2.7 |
Export (%) |
85 |
10 |
Percentage of cropped land (%) |
0.76A |
80 |
Irrigated land (%) |
100 |
8.3 |
A Calculated from ABARE's (2000) commodity report
TABLE 4 COMPARISON OF AVERAGE MINIMUM AND MAXIMUM TEMPERATURES DURING 1 MONTH OF ESTABLISHMENT AT YANCO AGRICULTURAL INSTITUTE, AUSTRALIA, AND 6 PROVINCES IN LAOS.
Month |
Location |
Country |
Min |
Across A |
Within B |
Max |
oC |
cv% |
cv% |
oC | |||
Nov |
Yanco |
Australia |
12.3 |
10.0 |
32.4 |
26.6 |
Dec |
Luang Namtha |
Laos |
15.0 |
8.2 |
16.9 |
24.6 |
Dec |
Oudomxay |
Laos |
11.5 |
16.0 |
26.3 |
24.5 |
Dec |
Houaphanh |
Laos |
11.1 |
11.9 |
28.4 |
20.8 |
Dec |
Xieng Khouang |
Laos |
8.3 |
22.1 |
38.6 |
21.6 |
Dec |
Vientiane |
Laos |
17.2 |
7.4 |
13.9 |
28.3 |
Dec |
Champassak |
Laos |
18.5 |
- |
- |
31.2 |
A Coefficient of variation across years relative to the mean
B Coefficient of variation within years relative to the mean
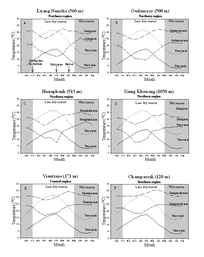
Figure 1 The long-term maximum and minimum temperatures of Yanco, Australia compared to six provinces in Laos. (A) Luang Namtha, (B) Oudomxay, (C) Houaphanh, (D) Xieng Khouang (E) Vientiane, and (F) Champassak.

Figure 2 Effect of temperature on biomass per seedling, 41 days after sowing from a sub-set of cultivars displaying variation in temperature response. Vertical bars indicate standard error.

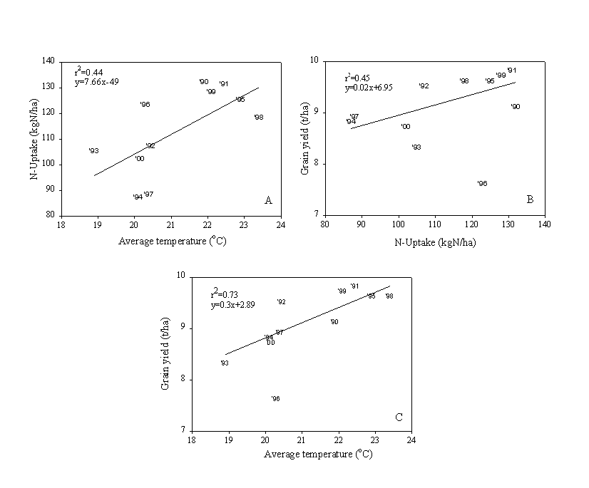
Figure 1 (A) Average temperature from November 1 to December 31 and PI Nitrogen uptake for Amaroo crops sown early October 1-7 from 1990-2000, (B) nitrogen uptake plotted against grain yield for Amaroo crops from 1989-2000, and (C) average temperature plotted against grain yield. The correlation of (B) and (C) does not include 1996, which experienced yield reduction due to low temperature during the reproductive phase (late January -early February).
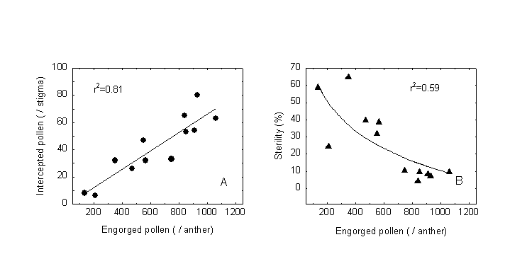
Figure 4 (A) Number of engorged pollen grains per anther regressed against intercepted pollen per stigma for Amaroo. (B) Number of engorged pollen grains per anther plotted against spikelet sterility (Gunawardena, unpublished).

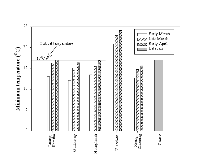
Figure 5 Temperature variability between the microspore period in Yanco and alternative periods in five Laos provinces. Champassak data was not available.